关于我院2020年“3+2”专升本学生推荐名单的公示
2020-05-12 15:42:00 | 长沙南方职业学院
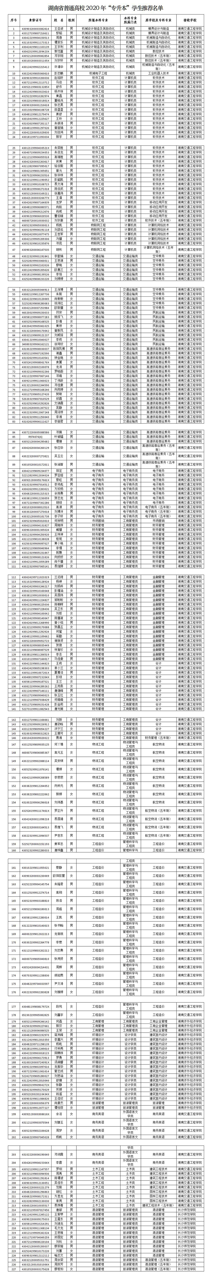
根据湖南省教育厅关于印发《关于做好 2020 年湖南省普通 高等教育“专升本”工作的通知》(湘教通〔2020〕67 号)的 文件规定。我院拟推荐部分优秀应届专科毕业生至相应本科院校就读。现将2020年“3+2”专升本学生推荐名单进行公示(共227人)。如有异议,请于公示期内联系电话0731-88121878,18973148715。
公示时间:2020年5月12日-5月18日
推荐名单如下:

长沙南方职业学院继续教育部
2020年5月12日